El mes de nacimiento influye en la altura de las personas
El mes y la estación de nacimiento pueden influir en el crecimiento de los niños y en la que será su talla adulta

Spikeball | Unsplash
Si alguna vez pensó que su estatura es el resultado de sus vivencias, tenía razón. Sabemos que la altura refleja cambios en la salud y el bienestar humano. Somos más altos que hace un siglo por el progreso económico, la mejora de los niveles de vida y los avances del estado de bienestar.
También sabemos que este parámetro refleja la desigualdad. Las diferencias de centímetros entre entornos de familias acomodadas y familias de bajos ingresos reflejan una disparidad en el acceso a los alimentos, a la salud y la vivienda, incluyendo los logros académicos.
Sin embargo, es menos conocido que el mes y la estación de nacimiento pueden influir en el crecimiento de los niños y en la que será su talla adulta.
Un abanico de factores estacionales
Recientes investigaciones muestran que los efectos del mes que empezamos a existir pueden ser más importantes de lo que pensábamos: la fecha del parto está asociada a la exposición materna, a factores meteorológicos, la contaminación del aire, el suministro de alimentos, la dieta y la actividad física.
Pese a las limitaciones metodológicas de las investigaciones realizadas, se aprecia que la fecha de nacimiento tiene relación, por ejemplo, con un marcador de la exposición fetal a la vitamina D, asociado a una amplia gama de consecuencias en la salud, como veremos más adelante.
En las últimas décadas, muchas investigaciones basadas en encuestas y datos históricos de reclutas han examinado la influencia del clima en la nutrición, los niveles de vida y estatura de los niños a través de su retraso del crecimiento, dado que la agricultura y la seguridad alimentaria se ven más afectadas por la crisis climática. Esto se aplica principalmente a poblaciones con bajos ingresos y escasos recursos.
Sin embargo, aún son escasos los estudios sobre el impacto de la estacionalidad en la altura final. Los resultados no siempre han sido consistentes y, a menudo, incluso resultan contradictorios.
Ventajas de nacer a finales del verano y en otoño
Y aunque las investigaciones no identifican una clara relación entre talla y clima, sí sugieren que este último afecta a la salud de muchas maneras. Actualmente, la frecuencia de fenómenos meteorológicos extremos y los desastres naturales alteran los sistemas alimentarios y provocan enfermedades asociadas a la malnutrición, el paludismo y el estrés calórico.
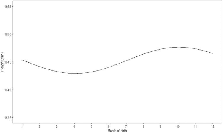
Un reciente estudio, realizado por nuestro grupo de investigación de la Universidad de Murcia y basado en reclutas de la España rural a lo largo del siglo XX, muestra que los nacidos al final del verano y el otoño registraron estaturas algo más altas que quienes vinieron al mundo en los meses de invierno. Septiembre fue el mes más favorable en este aspecto. Además, los datos del estudio no están sesgados socialmente, porque se han recopilado de una época en la que el servicio militar era obligatorio para todos los hombres.

Fuente: ‘Month of birth and height. A case study in rural Spain’. Economics & Human Biology.Volume 47, December 2022.
Para las poblaciones españolas nacidas antes de 1970, empleadas principalmente en el sector agrario, no industrializadas y poco urbanizadas, el final del verano y el otoño eran la época de mayores rendimientos agrícolas, con disponibilidad de recursos económicos para proveerse de proteínas animales. La época de la matanza del cerdo, fuente de alimentos ricos en proteínas en los hogares rurales, se producía generalmente en otoño.
Los datos sugieren, pues, que las poblaciones rurales se beneficiaban en ese tiempo del acceso a frutas, productos frescos y micronutrientes necesarios para el crecimiento. Además, tras la recolección de frutos y la vendimia en los meses de septiembre y comienzos de otoño aumentaban los ingresos familiares necesarios para la compra de bienes.
Los hallazgos son consistentes con estudios previos basados en poblaciones del pasado, tanto de niños alemanes de una estricta academia militar a finales del siglo XVIII, como de individuos nacidos en condados de bajos ingresos en el oeste de China.
Las madres que dieron a luz en verano y otoño tuvieron acceso a abundante comida y frutas y verduras frescas a finales del embarazo, el período de mayor crecimiento del feto. Todo ello sugiere que las cosechas y los rendimientos agrícolas y, por tanto, los precios de los alimentos y la obtención de ingresos –básicos para las familias campesinas– influyen en la salud nutricional infantil.
Los beneficios de la exposición al sol y a la vitamina D
Otro aspecto a tener en cuenta es la cantidad de luz solar que recibe la madre antes del parto, que determina su exposición a la vitamina D. La deficiencia de dicha vitamina durante el embarazo o la infancia puede retrasar el desarrollo de los niños.
Numerosos estudios señalan que representa una importante contribución al crecimiento posnatal temprano. Sin embargo, aún se precisan muchos ensayos clínicos que demuestren los posibles riesgos de su deficiencia en el crecimiento y desarrollo óseo, así como los supuestos beneficios de la ingesta de suplementos de vitamina D durante el embarazo.
Nuevas investigaciones que incluyan a las mujeres
Nuestro grupo ya había señalado en estudios previos la relación entre el clima y la talla durante la industrialización española. Con esta nueva etapa de la investigación destacamos el impacto que el mes de nacimiento y los ciclos climáticos, mensuales y estacionales pueden tener en nuestro bienestar biológico y salud.
Por otra parte, ahora es el momento de superar las limitaciones de género de la investigación (que al incluir solo reclutas, estaba basada en poblaciones masculinas) e incorporar a las mujeres en los estudios. Con la inclusión de poblaciones más diversas y de diferentes climas abriremos la puerta a relaciones y hallazgos más complejos sobre la relación entre los condicionantes climáticos y la altura de las personas.
Los países de bajos ingresos y en desarrollo podrían ser los más afectados, dada su dependencia del clima para la obtención de recursos y alimentos. Son, de nuevo, quienes sufren las mayores consecuencias por el cambio climático y sus consecuencias sobre la salud.![]()
***
Este artículo fue publicado originalmente en The Conversation. Lea el original.
